Propietarios Villa Maria
Contacto
Categoría:
OTROS
22 de septiembre de 2023
Detalle Expensas Villa María – Sueldos y cargas sociales
22 de septiembre de 2023
Detalle Expensas Villa María – Abonos de Servicios
22 de septiembre de 2023
Expensas Villa María Comparativo Mensual
20 de septiembre de 2023
Protocolo Seguridad MURATA
19 de septiembre de 2023
Desarrollado/No Desarrollado
19 de septiembre de 2023
Plano de Mensura_Lámina 1
19 de septiembre de 2023
Plano de Mensura_Hotel
19 de septiembre de 2023
Parcelas
19 de septiembre de 2023
imagen parcelas EC
18 de septiembre de 2023
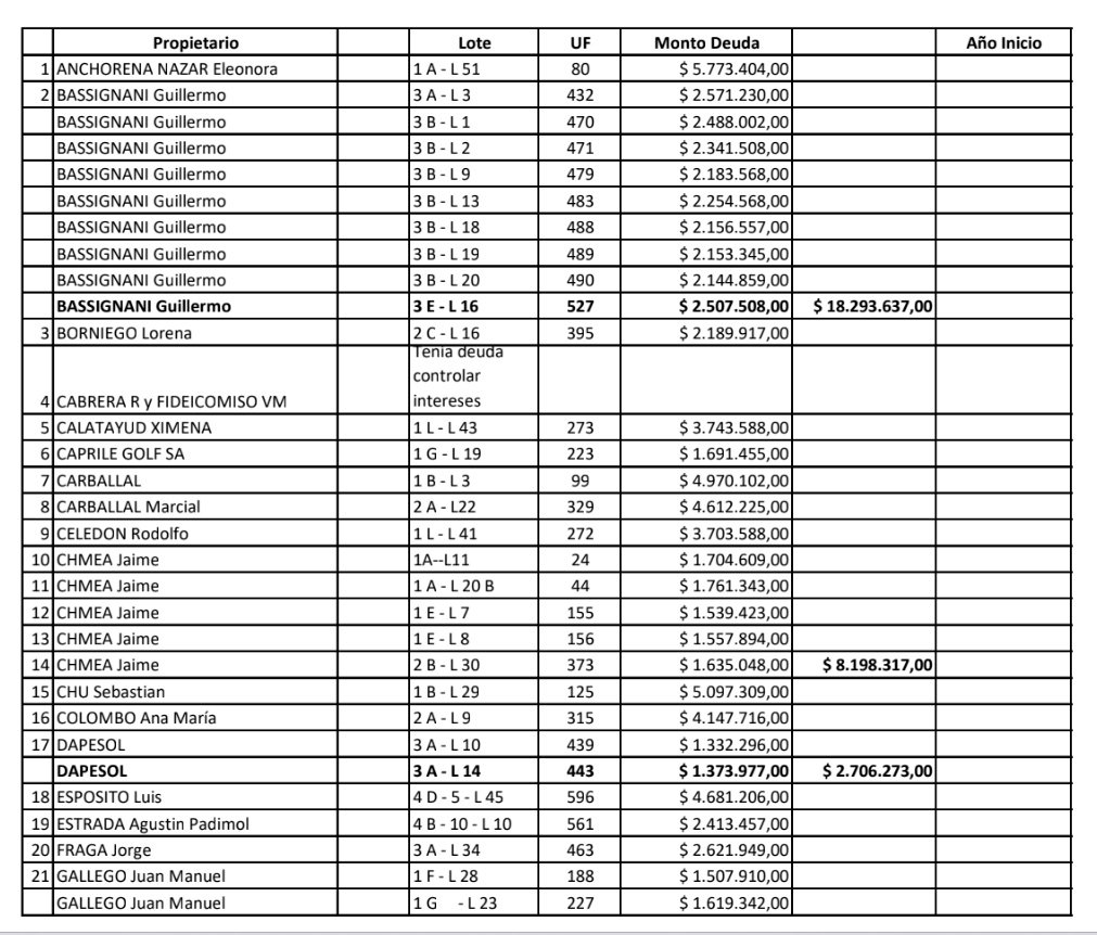
MOROSOS + $ 1.000.000.-
18 de septiembre de 2023
MOROSOS + $ 1.000.000.-
18 de septiembre de 2023
MOROSOS + $ 1.000.000.-
Página anterior
1
2
3
4
Página siguiente
Search for an article
Search
Search
No puedes copiar el contenido de esta página
Powered by
Joinchat
Hola Soy el Dr. Marcos Carrillo, en que puedo ayudarte?
Open chat